Официальное опубликование правовых актов
ОФИЦИАЛЬНОЕ ОПУБЛИКОВАНИЕ
Постановление Правительства Республики Северная Осетия - Алания от 17.03.2020 № 84
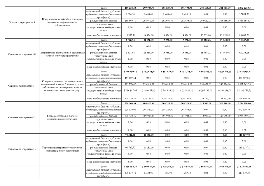
"О внесении изменения в постановление Правительства Республики Северная Осетия-Алания от 10 декабря 2019 г. № 409 "Об утверждении государственной программы Республики Северная Осетия-Алания "Развитие здравоохранения Республики Северная Осетия-Алания" на 2019-2024 годы"
Номер опубликования: 1500202003200011
Дата опубликования: 20.03.2020
Страница №40 из 46:
Увеличить