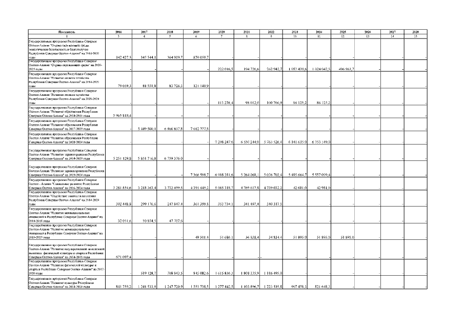
Постановление Правительства Республики Северная Осетия - Алания от 25.02.2020 № 62
"О внесении изменений в постановление Правительства Республики Северная Осетия-Алания от 11 апреля 2017 года № 149 "Об утверждении бюджетного прогноза Республики Северная Осетия-Алания до 2028 года"
"О внесении изменений в постановление Правительства Республики Северная Осетия-Алания от 11 апреля 2017 года № 149 "Об утверждении бюджетного прогноза Республики Северная Осетия-Алания до 2028 года"
Номер опубликования: 1500202003030002
Дата опубликования:
03.03.2020
