Постановление Правительства Республики Северная Осетия - Алания от 19.02.2020 № 44
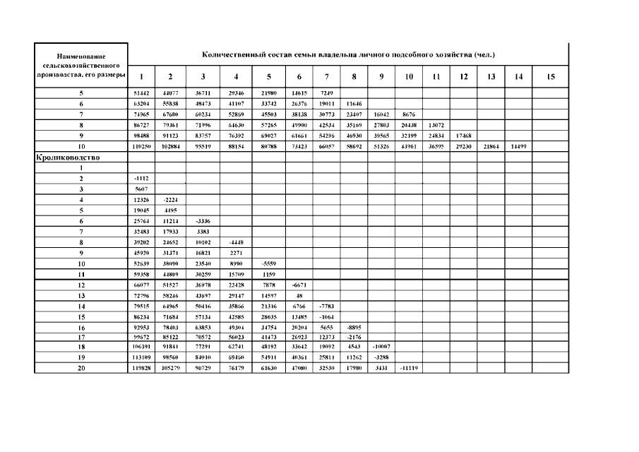
"О годовых нормативах чистого дохода в стоимостном выражении от реализации плодов и продукции, полученных в личном подсобном хозяйстве, в Республике Северная Осетия-Алания на I полугодие 2020 года"
"О годовых нормативах чистого дохода в стоимостном выражении от реализации плодов и продукции, полученных в личном подсобном хозяйстве, в Республике Северная Осетия-Алания на I полугодие 2020 года"
Номер опубликования: 1500202002270019
Дата опубликования:
27.02.2020
