Официальное опубликование правовых актов
ОФИЦИАЛЬНОЕ ОПУБЛИКОВАНИЕ
Постановление Правительства Республики Северная Осетия - Алания от 04.02.2020 № 32
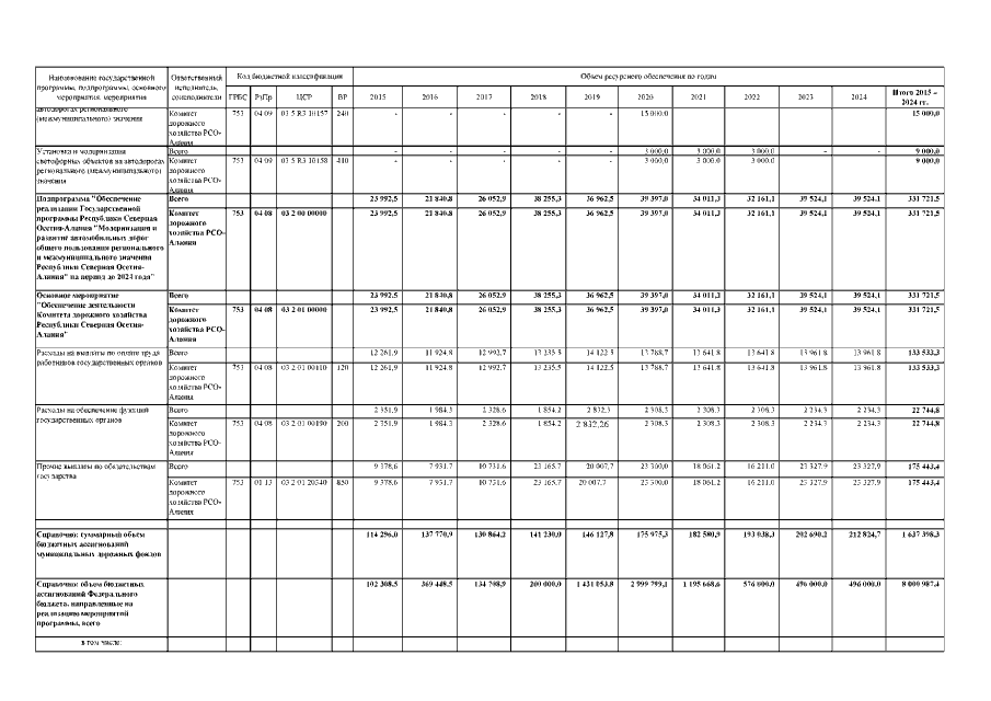
"О внесении изменений в постановление Правительства Республики Северная Осетия-Алания от 15 ноября 2013 г. № 410 "О государственной программе Республики Северная Осетия-Алания "Модернизация и развитие автомобильных дорог общего пользования регионального (межмуниципального) и местного значения Республики Северная Осетия-Алания" на период до 2024 года"
Номер опубликования: 1500202002110001
Дата опубликования: 11.02.2020
Страница №30 из 31:
Увеличить