Официальное опубликование правовых актов
ОФИЦИАЛЬНОЕ ОПУБЛИКОВАНИЕ
Распоряжение Правительства Республики Северная Осетия - Алания от 04.02.2020 № 29-р
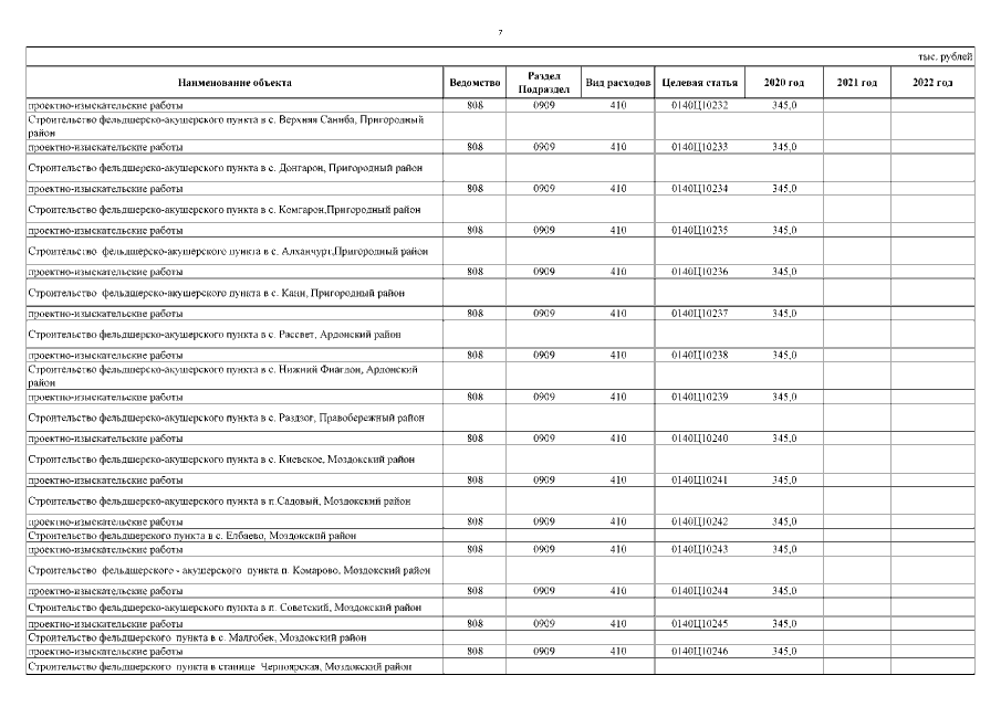
"О внесении изменения в распоряжение Правительства Республики Северная Осетия-Алания от 10 декабря 2019 г. № 428-р "О республиканской адресной инвестиционной программе Республики Северная Осетия - Алания на 2020 год и на плановый период 2021 и 2022 годов"
Номер опубликования: 1500202002100005
Дата опубликования: 10.02.2020
Страница №8 из 14:
Увеличить