Официальное опубликование правовых актов
ОФИЦИАЛЬНОЕ ОПУБЛИКОВАНИЕ
Постановление Правительства Республики Северная Осетия - Алания от 24.12.2019 № 469
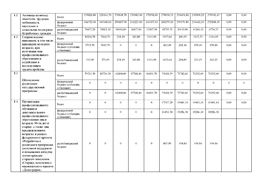
"О внесении изменений в постановление Правительства Республики Северная Осетия-Алания от 28 октября 2013 г. № 383 "О государственной программе Республики Северная Осетия-Алания "Содействие занятости населения Республики Северная Осетия-Алания" на 2014-2024 годы"
Номер опубликования: 1500201912270008
Дата опубликования: 27.12.2019
Страница №49 из 54:
Увеличить