Официальное опубликование правовых актов
ОФИЦИАЛЬНОЕ ОПУБЛИКОВАНИЕ
Постановление Правительства Республики Северная Осетия - Алания от 10.12.2019 № 419
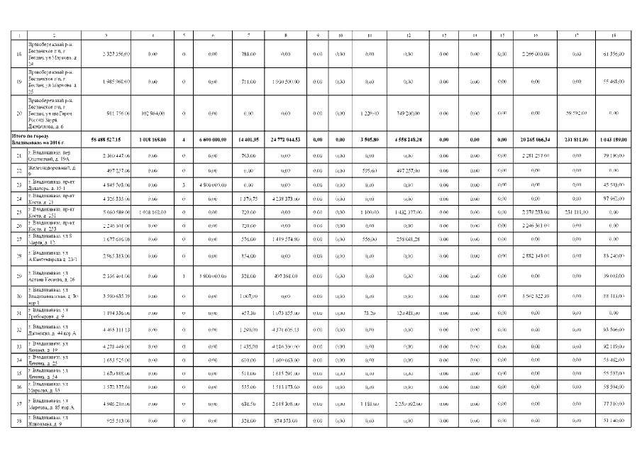
"О внесении изменений в постановление Правительства Республики Северная Осетия-Алания от 16 мая 2014 года №171 "О краткосрочной республиканской программе "Капитальный ремонт общего имущества в многоквартирных домах" на 2014-2016 годы"
Номер опубликования: 1500201912160028
Дата опубликования: 16.12.2019
Страница №18 из 21:
Увеличить