Официальное опубликование правовых актов
ОФИЦИАЛЬНОЕ ОПУБЛИКОВАНИЕ
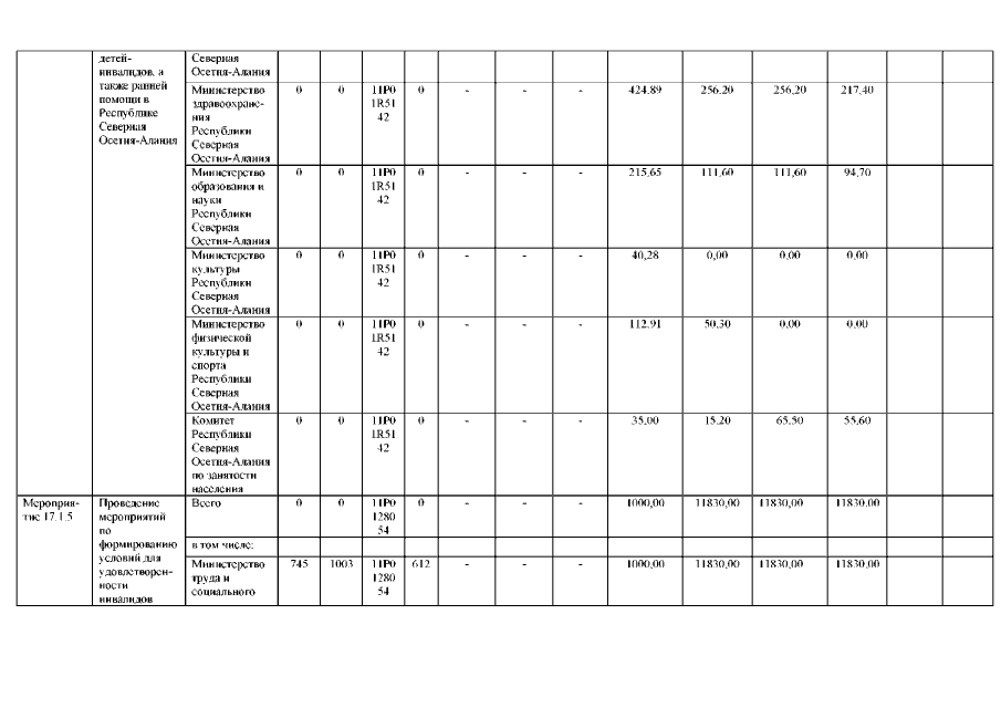
Постановление Правительства Республики Северная Осетия - Алания от 02.12.2019 № 405
"О внесении изменений в постановление Правительства Республики Северная Осетия-Алания от 10 мая 2016 года № 156 "О государственной программе Республики Северная Осетия-Алания "Социальное развитие Республики Северная Осетия-Алания" на 2016-2024 годы"
Номер опубликования: 1500201912110002
Дата опубликования: 11.12.2019
Страница №182 из 247:
Увеличить