Официальное опубликование правовых актов
ОФИЦИАЛЬНОЕ ОПУБЛИКОВАНИЕ
Постановление Правительства Республики Северная Осетия - Алания от 02.12.2019 № 404
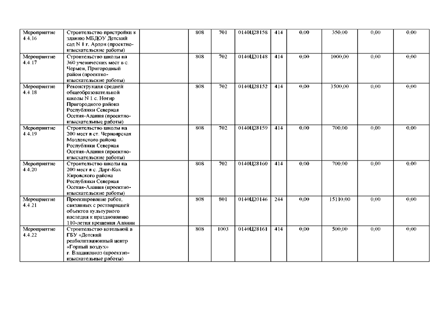
"О внесении изменений в постановление Правительства Республики Северная Осетия-Алания от 15 марта 2016 года № 73 "О государственной программе Республики Северная Осетия-Алания "Обеспечение доступным и комфортным жильем граждан в Республике Северная Осетия-Алания" на 2016-2024 годы"
Номер опубликования: 1500201912060009
Дата опубликования: 06.12.2019
Страница №29 из 84:
Увеличить