Официальное опубликование правовых актов
ОФИЦИАЛЬНОЕ ОПУБЛИКОВАНИЕ
Постановление Правительства Республики Северная Осетия - Алания от 26.11.2019 № 388
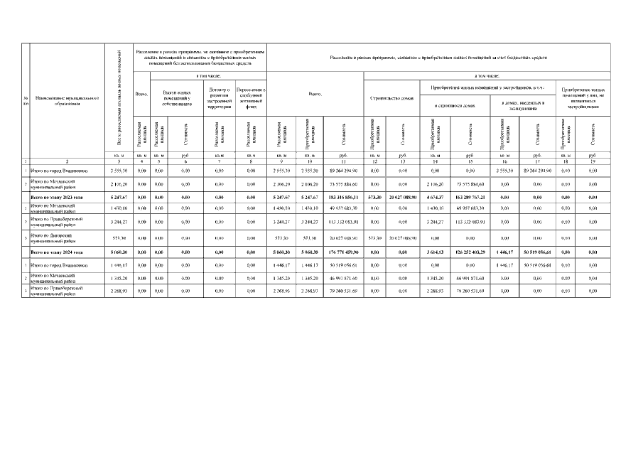
"О внесении изменений в постановление Правительства Республики Северная Осетия-Алания от 1 апреля 2019 года № 108"Об утверждении республиканской адресной программы "Переселение граждан из аварийного жилищного фонда на территории Республики Северная Осетия-Алания" на 2019-2025 годы"
Номер опубликования: 1500201911290005
Дата опубликования: 29.11.2019
Страница №10 из 14:
Увеличить