Официальное опубликование правовых актов
ОФИЦИАЛЬНОЕ ОПУБЛИКОВАНИЕ
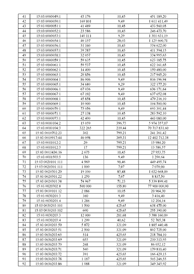
Постановление Правительства Республики Северная Осетия - Алания от 26.11.2019 № 398
"Об утверждении результатов государственной кадастровой оценки"
Номер опубликования: 1500201911270001
Дата опубликования: 27.11.2019
Страница №28 из 86:
Увеличить