Официальное опубликование правовых актов
ОФИЦИАЛЬНОЕ ОПУБЛИКОВАНИЕ
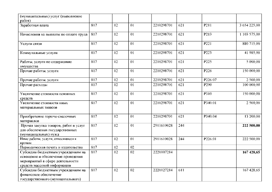
Распоряжение Правительства Республики Северная Осетия - Алания от 12.11.2019 № 370-р
"Об отмене установленных ограничений по лимитам бюджетных обязательств на 2019 год"
Номер опубликования: 1500201911150014
Дата опубликования: 15.11.2019
Страница №3 из 5:
Увеличить