Официальное опубликование правовых актов
ОФИЦИАЛЬНОЕ ОПУБЛИКОВАНИЕ
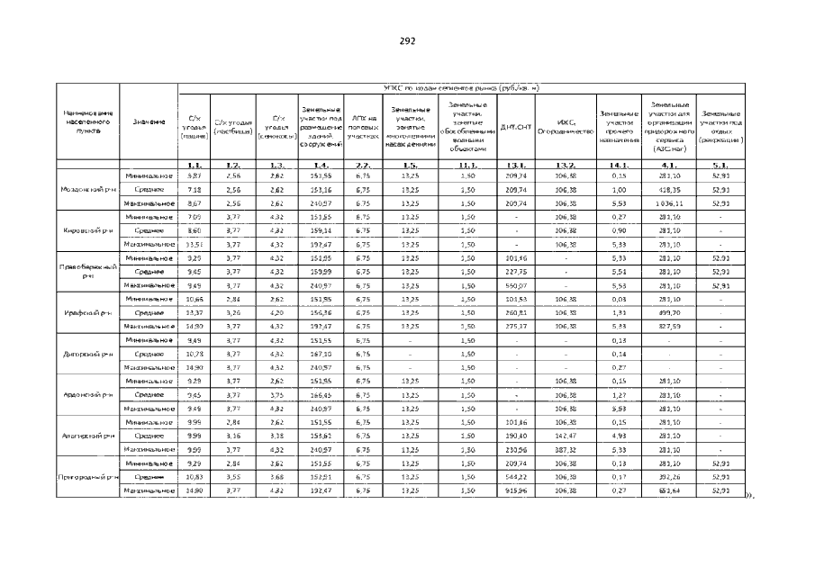
Постановление Правительства Республики Северная Осетия - Алания от 29.10.2019 № 360
"О внесении изменений в постановление Правительства Республики Северная Осетия-Алания от 16 ноября 2018 года № 371 "Об утверждении результатов государственной кадастровой оценки земель сельскохозяйственного назначения на территории Республики Северная Осетия-Алания"
Номер опубликования: 1500201911010026
Дата опубликования: 01.11.2019
Страница №293 из 293:
Увеличить