Официальное опубликование правовых актов
ОФИЦИАЛЬНОЕ ОПУБЛИКОВАНИЕ
Постановление Правительства Республики Северная Осетия - Алания от 14.10.2019 № 351
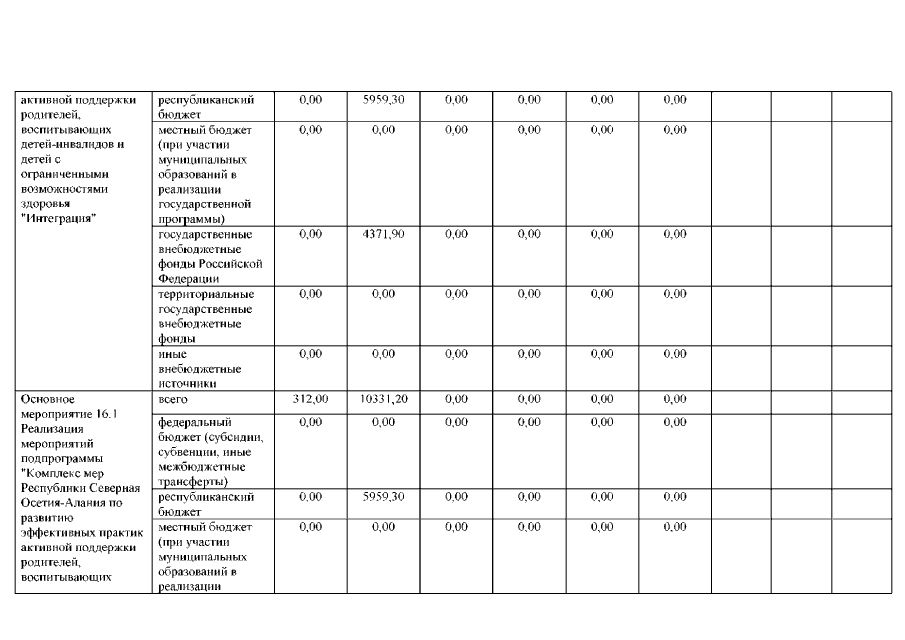
"О внесении изменений в постановление Правительства Республики Северная Осетия-Алания от 10 мая 2016 года №156 "О государственной программе Республики Северная Осетия-Алания "Социальное развитие Республики Северная Осетия-Алания" на2016-2024 годы"
Номер опубликования: 1500201910220002
Дата опубликования: 22.10.2019
Страница №175 из 182:
Увеличить