Официальное опубликование правовых актов
ОФИЦИАЛЬНОЕ ОПУБЛИКОВАНИЕ
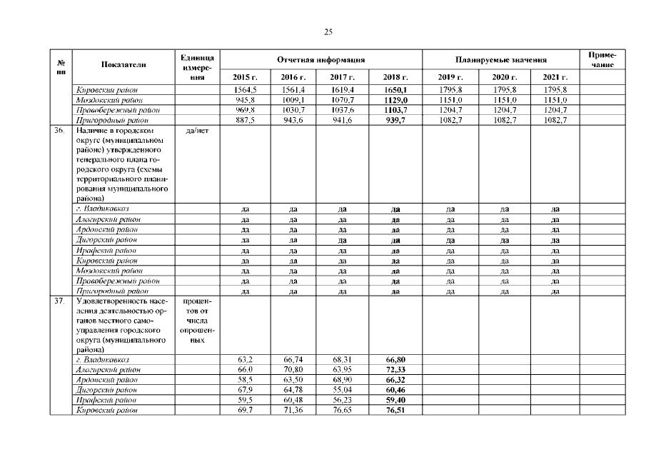
Распоряжение Правительства Республики Северная Осетия - Алания от 17.09.2019 № 290-р
"О результатах мониторинга эффективности деятельности органов местного самоуправления Республики Северная Осетия-Алания"
Номер опубликования: 1500201909200004
Дата опубликования: 20.09.2019
Страница №71 из 77:
Увеличить