Официальное опубликование правовых актов
ОФИЦИАЛЬНОЕ ОПУБЛИКОВАНИЕ
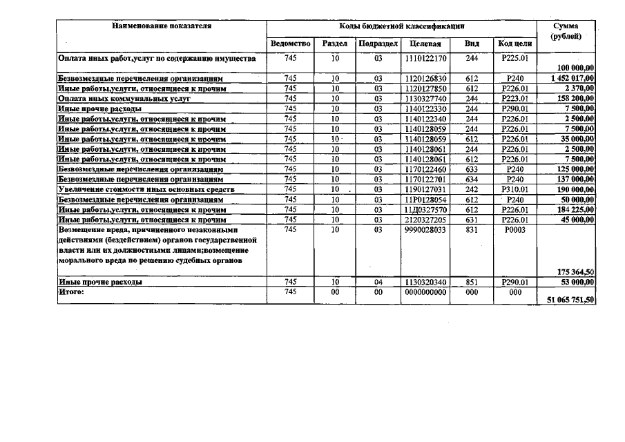
Распоряжение Правительства Республики Северная Осетия - Алания от 16.08.2019 № 271-р
"Об отмене установленных ограничений по лимитам бюджетных обязательств на 2019 год"
Номер опубликования: 1500201908220004
Дата опубликования: 22.08.2019
Страница №6 из 6:
Увеличить