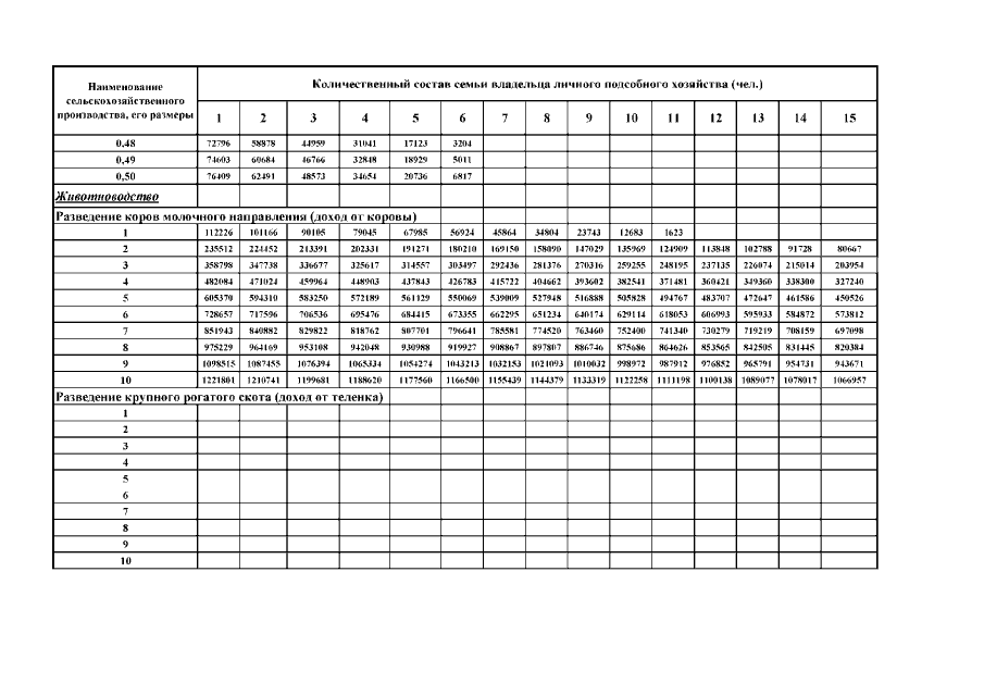
Постановление Правительства Республики Северная Осетия - Алания от 23.07.2019 № 240
"О годовых нормативах чистого дохода в стоимостном выражении от реализации плодов и продукции, полученных в личном подсобном хозяйстве, в Республике Северная Осетия-Алания на II полугодие 2019 года"
"О годовых нормативах чистого дохода в стоимостном выражении от реализации плодов и продукции, полученных в личном подсобном хозяйстве, в Республике Северная Осетия-Алания на II полугодие 2019 года"
Номер опубликования: 1500201907260001
Дата опубликования:
26.07.2019
