Официальное опубликование правовых актов
ОФИЦИАЛЬНОЕ ОПУБЛИКОВАНИЕ
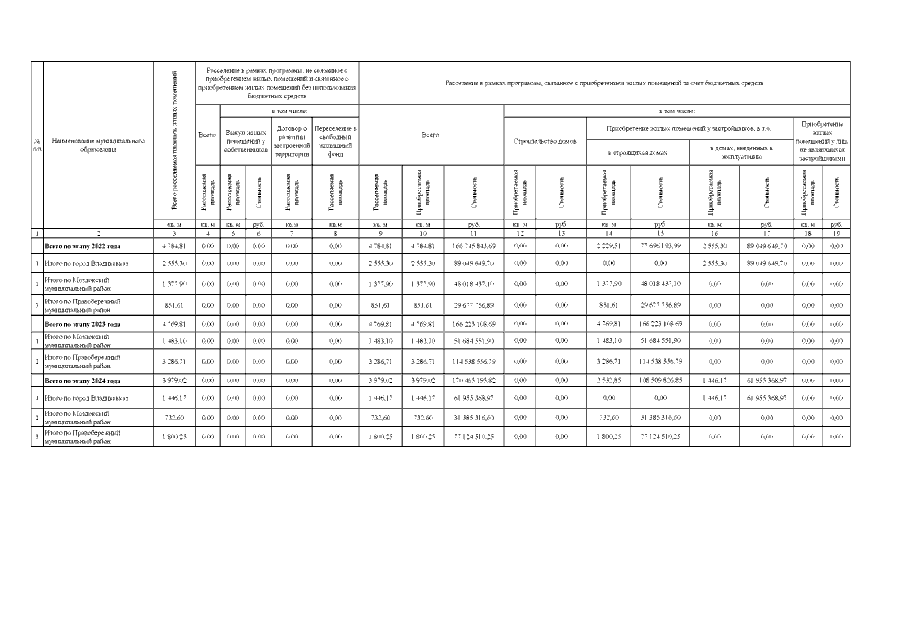
Постановление Правительства Республики Северная Осетия - Алания от 05.07.2019 № 227
"О внесении изменений в постановление Правительства Республики Северная Осетия-Алания от 1 апреля 2019 года № 108 "Об утверждении республиканской адресной программы "Переселение граждан из аварийного жилищного фонда на территории Республики Северная Осетия-Алания" на 2019-2025 годы"
Номер опубликования: 1500201907090002
Дата опубликования: 09.07.2019
Страница №8 из 10:
Увеличить