Официальное опубликование правовых актов
ОФИЦИАЛЬНОЕ ОПУБЛИКОВАНИЕ
Постановление Правительства Республики Северная Осетия - Алания от 28.05.2019 № 185
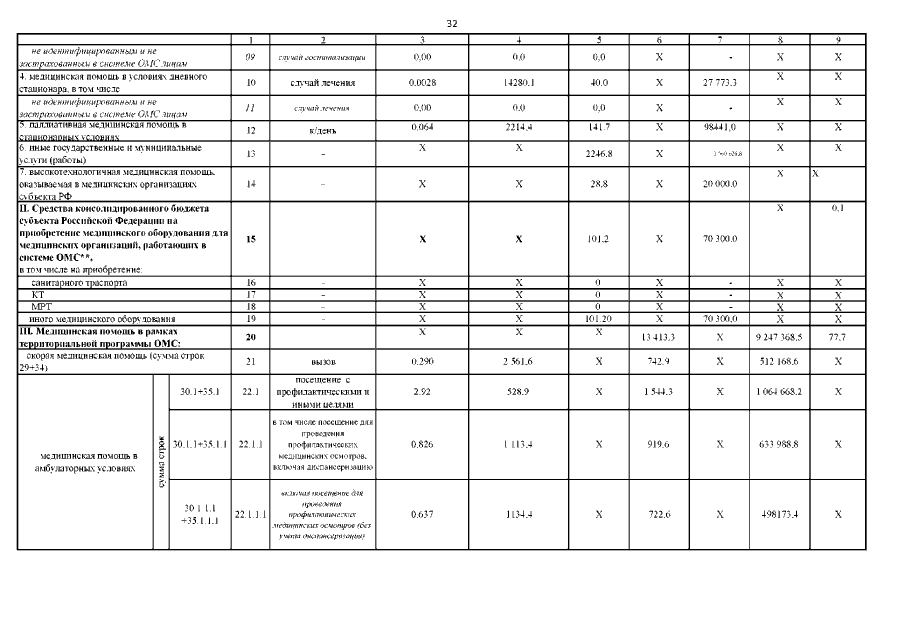
"О внесении изменений в постановление Правительства Республики Северная Осетия-Алания от 24 декабря 2018 года № 413 "О Территориальной программе государственных гарантий бесплатного оказания гражданам медицинской помощи на территории Республики Северная Осетия-Алания на 2019 год и на плановый период 2020 и 2021 годов"
Номер опубликования: 1500201906030001
Дата опубликования: 03.06.2019
Страница №33 из 39:
Увеличить