Официальное опубликование правовых актов
ОФИЦИАЛЬНОЕ ОПУБЛИКОВАНИЕ
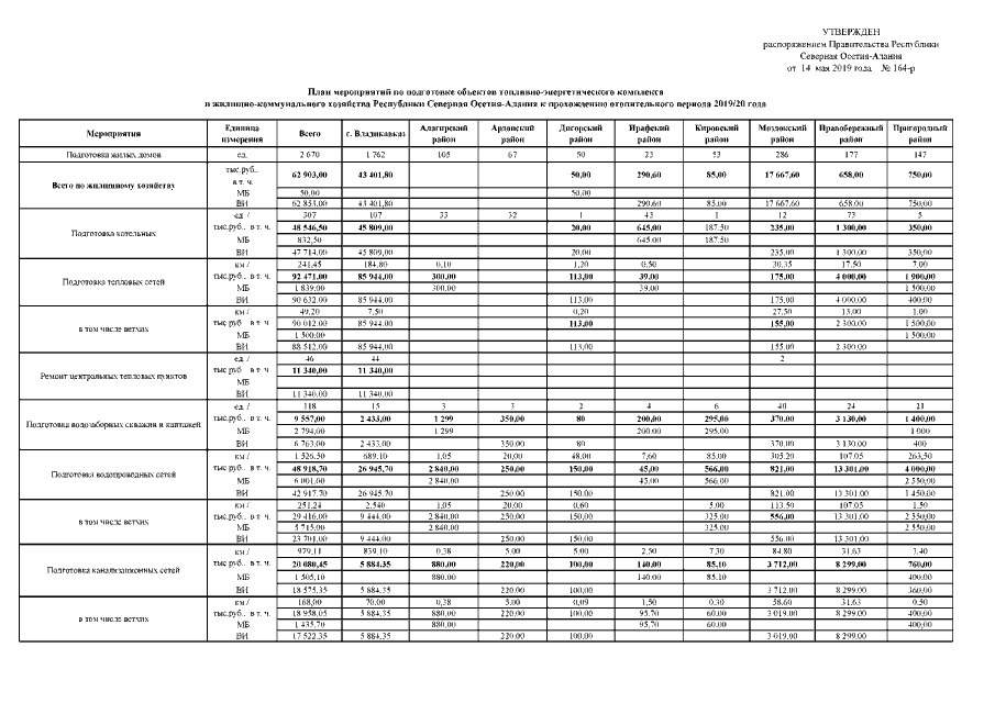
Распоряжение Правительства Республики Северная Осетия - Алания от 14.05.2019 № 164-р
"Об итогах осенне-зимнего периода 2018/19 года и задачах по подготовке объектов топливно-энергетического комплекса и жилищно-коммунального хозяйства Республики Северная Осетия-Алания к осенне-зимнему периоду 2019/20 года"
Номер опубликования: 1500201905210007
Дата опубликования: 21.05.2019
Страница №4 из 9:
Увеличить