Официальное опубликование правовых актов
ОФИЦИАЛЬНОЕ ОПУБЛИКОВАНИЕ
Постановление Правительства Республики Северная Осетия - Алания от 15.04.2019 № 128
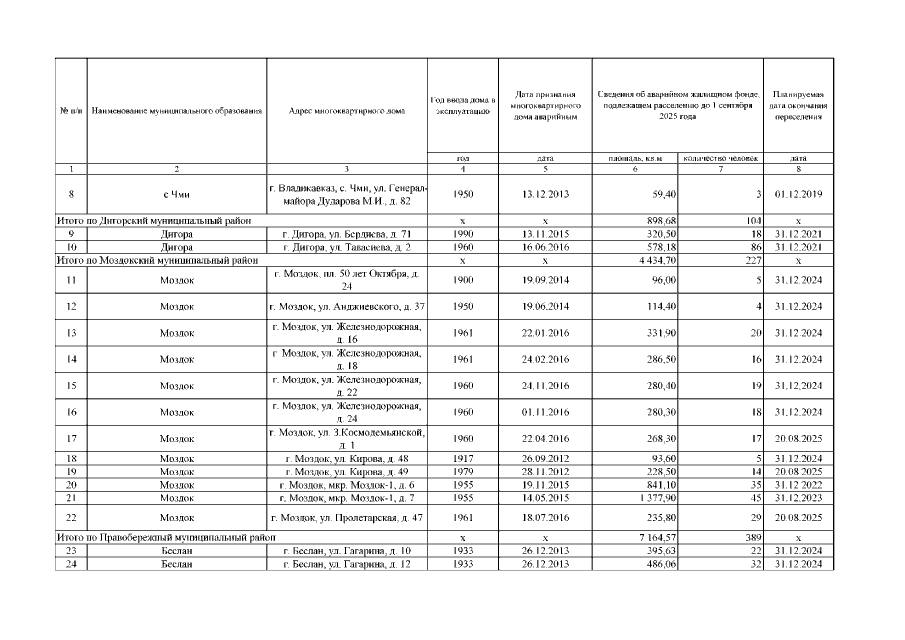
"О внесении изменений в постановление Правительства Республики Северная Осетия-Алания от 1 апреля 2019 года № 108 "Об утверждении республиканской адресной программы "Переселение граждан из аварийного жилищного фонда на территории Республики Северная Осетия-Алания" на 2019-2025 годы"
Номер опубликования: 1500201904180004
Дата опубликования: 18.04.2019
Страница №5 из 12:
Увеличить