Официальное опубликование правовых актов
ОФИЦИАЛЬНОЕ ОПУБЛИКОВАНИЕ
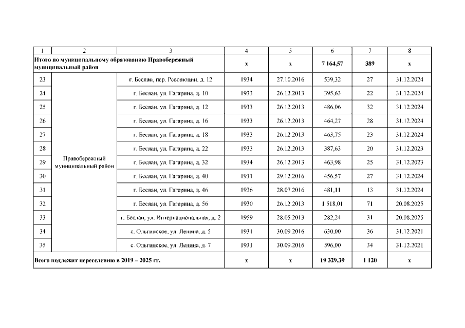
Постановление Правительства Республики Северная Осетия - Алания от 01.04.2019 № 108
"Об утверждении республиканской адресной программы "Переселение граждан из аварийного жилищного фонда на территории Республики Северная Осетия-Алания" на 2019-2025 годы"
Номер опубликования: 1500201904100018
Дата опубликования: 10.04.2019
Страница №20 из 27:
Увеличить