Официальное опубликование правовых актов
ОФИЦИАЛЬНОЕ ОПУБЛИКОВАНИЕ
Распоряжение Правительства Республики Северная Осетия - Алания от 05.03.2019 № 65-р
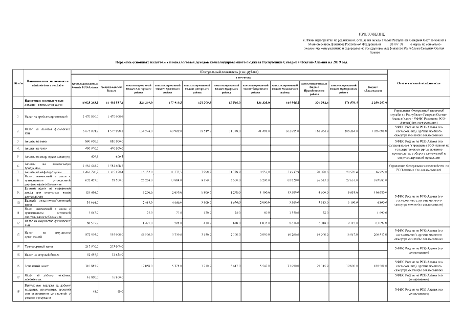
"О мерах по реализации Соглашения между Главой Республики Северная Осетия-Алания и Министерством финансов Российской Федерации от 14 февраля 2019 г. № 01-01-06/06-50 о мерах по социально-экономическому развитию и оздоровлению государственных финансов Республики Северная Осетия-Алания"
Номер опубликования: 1500201903130007
Дата опубликования: 13.03.2019
Страница №10 из 17:
Увеличить