Официальное опубликование правовых актов
ОФИЦИАЛЬНОЕ ОПУБЛИКОВАНИЕ
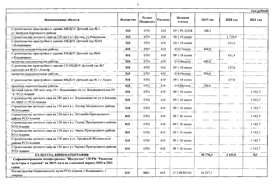
Распоряжение Правительства Республики Северная Осетия - Алания от 19.02.2019 № 50-р
"О внесении изменения в распоряжение Правительства Республики Северная Осетия-Алания от 27 ноября 2018 г. № 424-р "О республиканской адресной инвестиционной программе Республики Северная Осетия - Алания на 2019 год и на плановый период 2020 и 2021 годов"
Номер опубликования: 1500201902260001
Дата опубликования: 26.02.2019
Страница №8 из 13:
Увеличить