Официальное опубликование правовых актов
ОФИЦИАЛЬНОЕ ОПУБЛИКОВАНИЕ
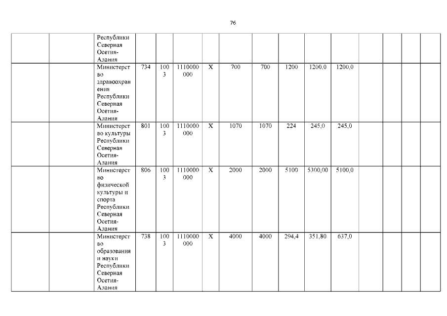
Постановление Правительства Республики Северная Осетия - Алания от 25.01.2019 № 13
"О внесении изменений в постановление Правительства Республики Северная Осетия-Алания от 10 мая 2016 года №156 "О государственной программе Республики Северная Осетия-Алания "Социальное развитие Республики Северная Осетия-Алания" на 2016-2020 годы"
Номер опубликования: 1500201902010001
Дата опубликования: 01.02.2019
Страница №77 из 242:
Увеличить