Официальное опубликование правовых актов
ОФИЦИАЛЬНОЕ ОПУБЛИКОВАНИЕ
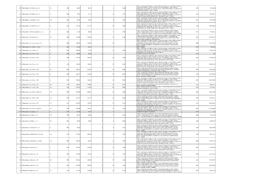
Постановление Правительства Республики Северная Осетия - Алания от 24.12.2018 № 426
"О внесении изменений в постановление Правительства Республики Северная Осетия-Алания от 30 декабря 2013 года № 513 "О Республиканской программе "Капитальный ремонт общего имущества в многоквартирных домах" на 2014-2038 годы"
Номер опубликования: 1500201812310001
Дата опубликования: 31.12.2018
Страница №48 из 486:
Увеличить