Постановление Правительства Республики Северная Осетия - Алания от 24.12.2018 № 426
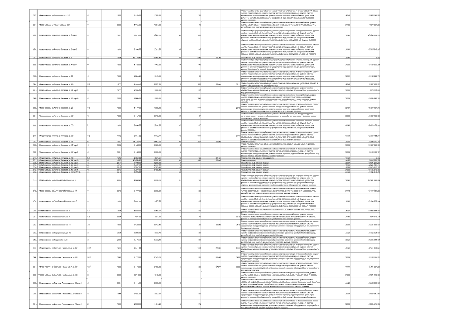
"О внесении изменений в постановление Правительства Республики Северная Осетия-Алания от 30 декабря 2013 года № 513 "О Республиканской программе "Капитальный ремонт общего имущества в многоквартирных домах" на 2014-2038 годы"
"О внесении изменений в постановление Правительства Республики Северная Осетия-Алания от 30 декабря 2013 года № 513 "О Республиканской программе "Капитальный ремонт общего имущества в многоквартирных домах" на 2014-2038 годы"
Номер опубликования: 1500201812310001
Дата опубликования:
31.12.2018
