Официальное опубликование правовых актов
ОФИЦИАЛЬНОЕ ОПУБЛИКОВАНИЕ
Постановление Правительства Республики Северная Осетия - Алания от 24.12.2018 № 429
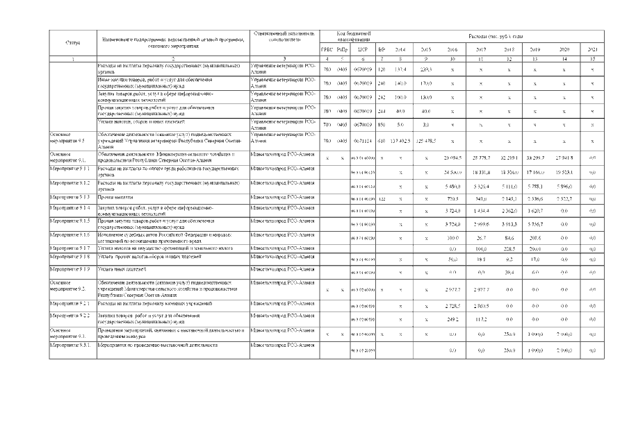
"О внесении изменений в постановление Правительства Республики Северная Осетия-Алания от 28 октября 2013 года № 392 "О государственной программе Республики Северная Осетия-Алания "Развитие сельского хозяйства и регулирование рынков сельскохозяйственной продукции, сырья и продовольствия" на 2014-2020 годы"
Номер опубликования: 1500201812290001
Дата опубликования: 29.12.2018
Страница №59 из 65:
Увеличить