Официальное опубликование правовых актов
ОФИЦИАЛЬНОЕ ОПУБЛИКОВАНИЕ
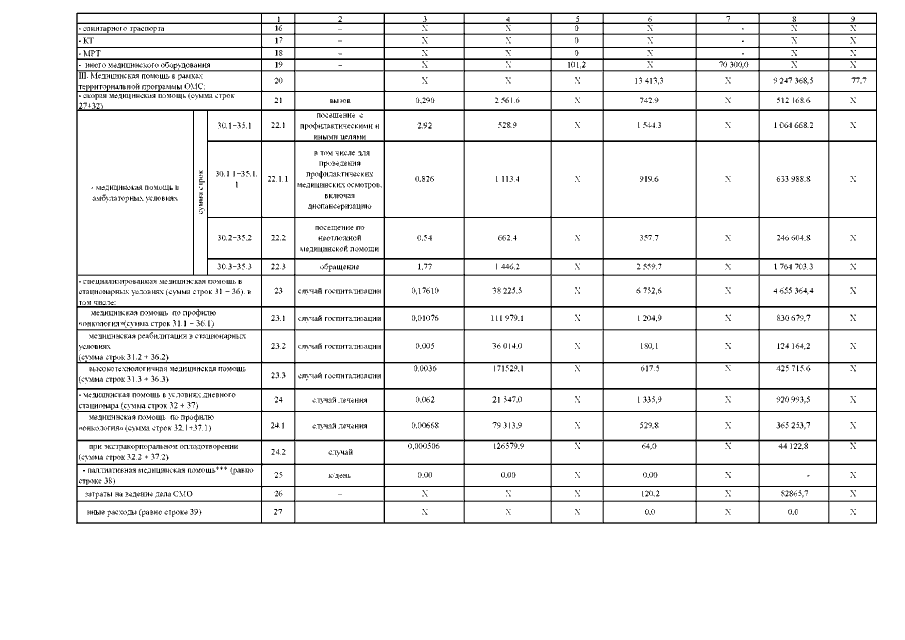
Постановление Правительства Республики Северная Осетия - Алания от 24.12.2018 № 413
"О Территориальной программе государственных гарантий бесплатного оказания гражданам медицинской помощи на территории Республики Северная Осетия-Алания на 2019 год и на плановый период 2020 и 2021 годов"
Номер опубликования: 1500201812280019
Дата опубликования: 28.12.2018
Страница №154 из 159:
Увеличить