Официальное опубликование правовых актов
ОФИЦИАЛЬНОЕ ОПУБЛИКОВАНИЕ
Постановление Правительства Республики Северная Осетия - Алания от 24.12.2018 № 416
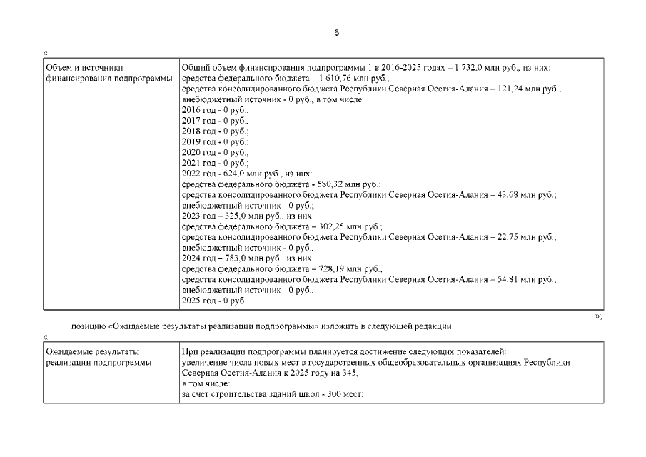
"О внесении изменений в постановление Правительства Республики Северная Осетия-Алания от 26 декабря 2016 года № 474 "О государственной программе Республики Северная Осетия-Алания "Создание новых мест в общеобразовательных организациях в соответствии с прогнозируемой потребностью и современными условиями обучения в Республике Северная Осетия-Алания" на 2016-2025 годы"
Номер опубликования: 1500201812280003
Дата опубликования: 28.12.2018
Страница №7 из 84:
Увеличить