Официальное опубликование правовых актов
ОФИЦИАЛЬНОЕ ОПУБЛИКОВАНИЕ
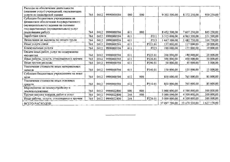
Распоряжение Правительства Республики Северная Осетия - Алания от 11.12.2018 № 465-р
"Об отмене установленных ограничений по лимитам бюджетных обязательств на 2018 год"
Номер опубликования: 1500201812170017
Дата опубликования: 17.12.2018
Страница №4 из 4:
Увеличить