Официальное опубликование правовых актов
ОФИЦИАЛЬНОЕ ОПУБЛИКОВАНИЕ
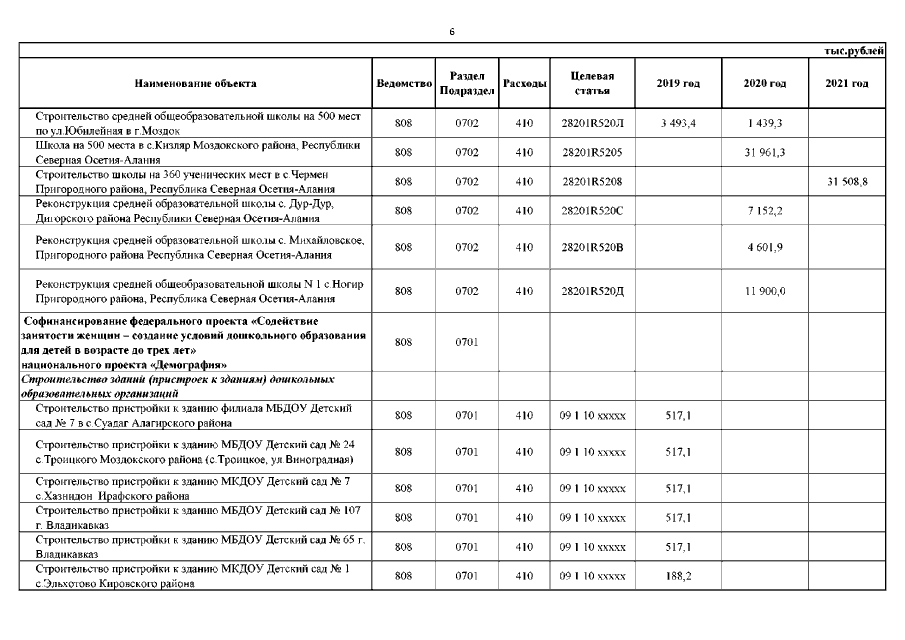
Распоряжение Правительства Республики Северная Осетия - Алания от 27.11.2018 № 424-р
"О республиканской адресной инвестиционной программе Республики Северная Осетия - Алания на 2019 год и на плановый период 2020 и 2021 годов"
Номер опубликования: 1500201812040011
Дата опубликования: 04.12.2018
Страница №7 из 14:
Увеличить