Официальное опубликование правовых актов
ОФИЦИАЛЬНОЕ ОПУБЛИКОВАНИЕ
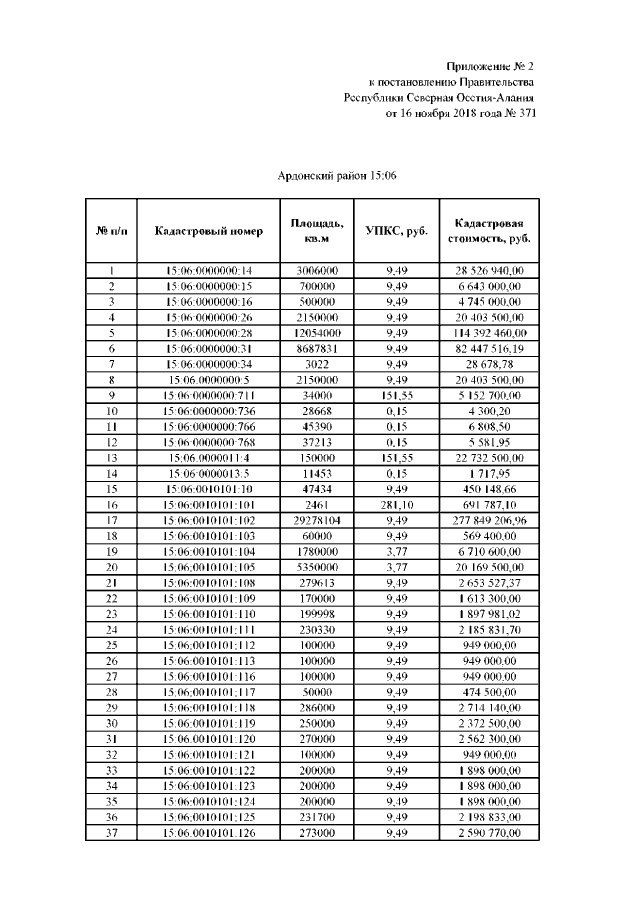
Постановление Правительства Республики Северная Осетия - Алания от 16.11.2018 № 371
"Об утверждении результатов государственной кадастровой оценки земель сельскохозяйственного назначения на территории Республики Северная Осетия-Алания"
Номер опубликования: 1500201811220001
Дата опубликования: 22.11.2018
Страница №95 из 522:
Увеличить