Официальное опубликование правовых актов
ОФИЦИАЛЬНОЕ ОПУБЛИКОВАНИЕ
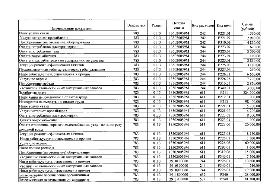
Распоряжение Правительства Республики Северная Осетия - Алания от 29.10.2018 № 390-р
"Об отмене установленных ограничений по лимитам бюджетных обязательств на 2018 год"
Номер опубликования: 1500201811060010
Дата опубликования: 06.11.2018
Страница №4 из 5:
Увеличить