Официальное опубликование правовых актов
ОФИЦИАЛЬНОЕ ОПУБЛИКОВАНИЕ
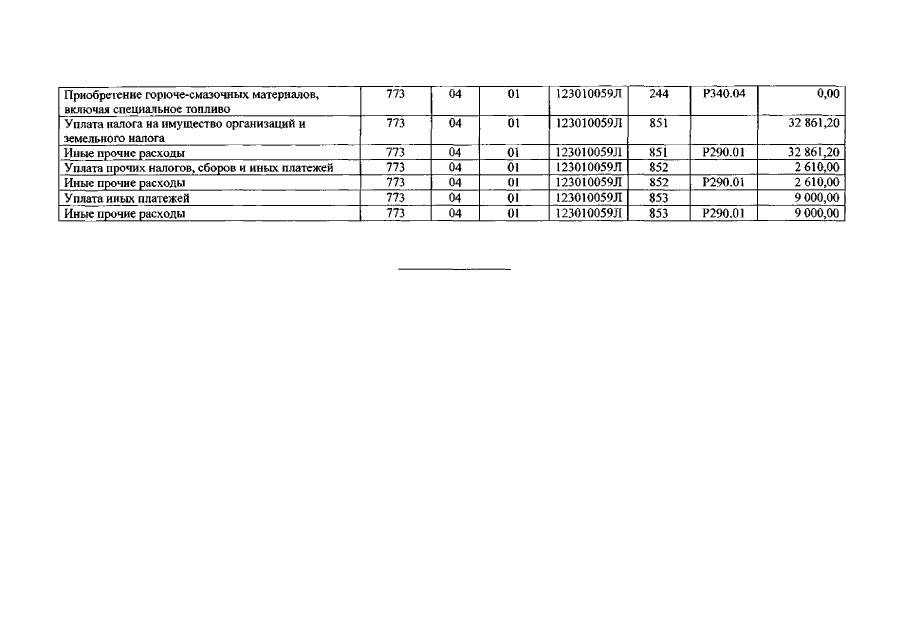
Распоряжение Правительства Республики Северная Осетия - Алания от 16.10.2018 № 353-р
"Об отмене установленных ограничений по лимитам бюджетных обязательств на 2018 год"
Номер опубликования: 1500201810190014
Дата опубликования: 19.10.2018
Страница №6 из 6:
Увеличить