Официальное опубликование правовых актов
ОФИЦИАЛЬНОЕ ОПУБЛИКОВАНИЕ
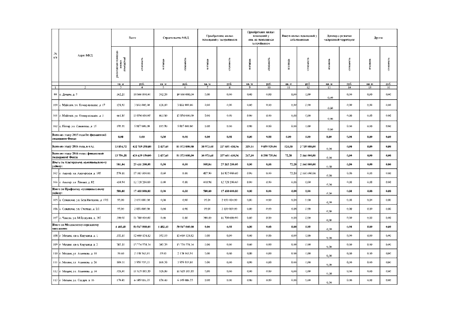
Постановление Правительства Республики Северная Осетия - Алания от 07.08.2018 № 265
"О внесении изменений в постановление Правительства Республики Северная Осетия-Алания от 31 мая 2013 года № 207 "Об адресной программе Республики Северная Осетия-Алания "Переселение граждан из аварийного жилищного фонда на 2013-2018 годы (в том числе с учётом необходимости развития малоэтажного жилищного строительства)"
Номер опубликования: 1500201808130001
Дата опубликования: 13.08.2018
Страница №22 из 28:
Увеличить