Официальное опубликование правовых актов
ОФИЦИАЛЬНОЕ ОПУБЛИКОВАНИЕ
Постановление Правительства Республики Северная Осетия - Алания от 24.07.2018 № 241
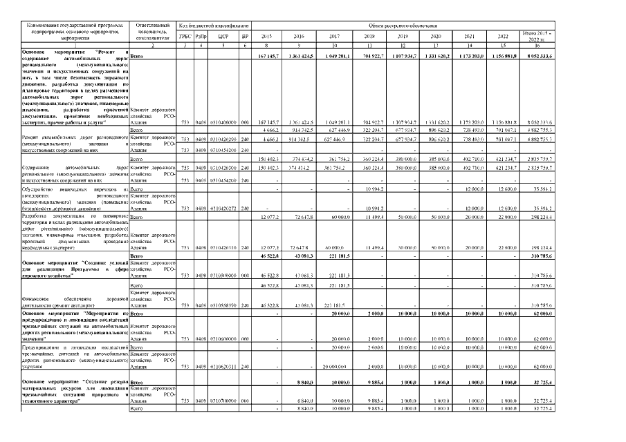
"О внесении изменений в постановление Правительства Республики Северная Осетия-Алания от 15 ноября 2013 г. № 410 "О государственной программе Республики Северная Осетия-Алания "Модернизация и развитие автомобильных дорог общего пользования регионального (межмуниципального) и местного значения Республики Северная Осетия-Алания" на период до 2022 года"
Номер опубликования: 1500201807300003
Дата опубликования: 30.07.2018
Страница №16 из 18:
Увеличить