Официальное опубликование правовых актов
ОФИЦИАЛЬНОЕ ОПУБЛИКОВАНИЕ
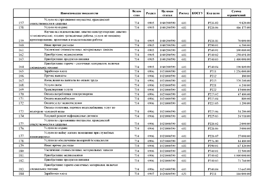
Распоряжение Правительства Республики Северная Осетия - Алания от 10.07.2018 № 240-р
"Об отмене установленных ограничений по лимитам бюджетных обязательств на 2018 год"
Номер опубликования: 1500201807160002
Дата опубликования: 16.07.2018
Страница №8 из 12:
Увеличить