Официальное опубликование правовых актов
ОФИЦИАЛЬНОЕ ОПУБЛИКОВАНИЕ
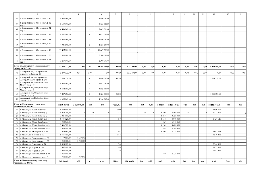
Постановление Правительства Республики Северная Осетия - Алания от 05.06.2018 № 194
"О внесении изменений в постановление Правительства Республики Северная Осетия-Алания от 7 июня 2017 года № 231 "О краткосрочной республиканской программе "Капитальный ремонт общего имущества в многоквартирных домах" на 2017 - 2019 годы"
Номер опубликования: 1500201806090008
Дата опубликования: 09.06.2018
Страница №15 из 18:
Увеличить