Официальное опубликование правовых актов
ОФИЦИАЛЬНОЕ ОПУБЛИКОВАНИЕ
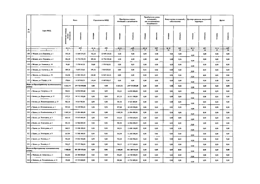
Постановление Правительства Республики Северная Осетия - Алания от 22.05.2018 № 168
"О внесении изменений в постановление Правительства Республики Северная Осетия-Алания от 31 мая 2013 года № 207 "Об адресной программе Республики Северная Осетия-Алания "Переселение граждан из аварийного жилищного фонда на 2013-2018 годы (в том числе с учетом необходимости развития малоэтажного жилищного строительства)"
Номер опубликования: 1500201805290001
Дата опубликования: 29.05.2018
Страница №24 из 27:
Увеличить