Официальное опубликование правовых актов
ОФИЦИАЛЬНОЕ ОПУБЛИКОВАНИЕ
Постановление Правительства Республики Северная Осетия - Алания от 22.05.2018 № 169
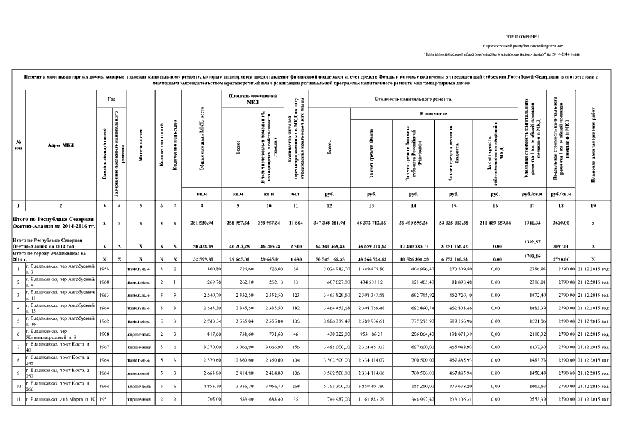
"О внесении изменений в постановление Правительства Республики Северная Осетия-Алания от 16 мая 2014 года №171 "О краткосрочной республиканской программе "Капитальный ремонт общего имущества в многоквартирных домах" на 2014-2016 годы"
Номер опубликования: 1500201805280011
Дата опубликования: 28.05.2018
Страница №4 из 21:
Увеличить