Официальное опубликование правовых актов
ОФИЦИАЛЬНОЕ ОПУБЛИКОВАНИЕ
Постановление Правительства Республики Северная Осетия - Алания от 17.04.2018 № 127
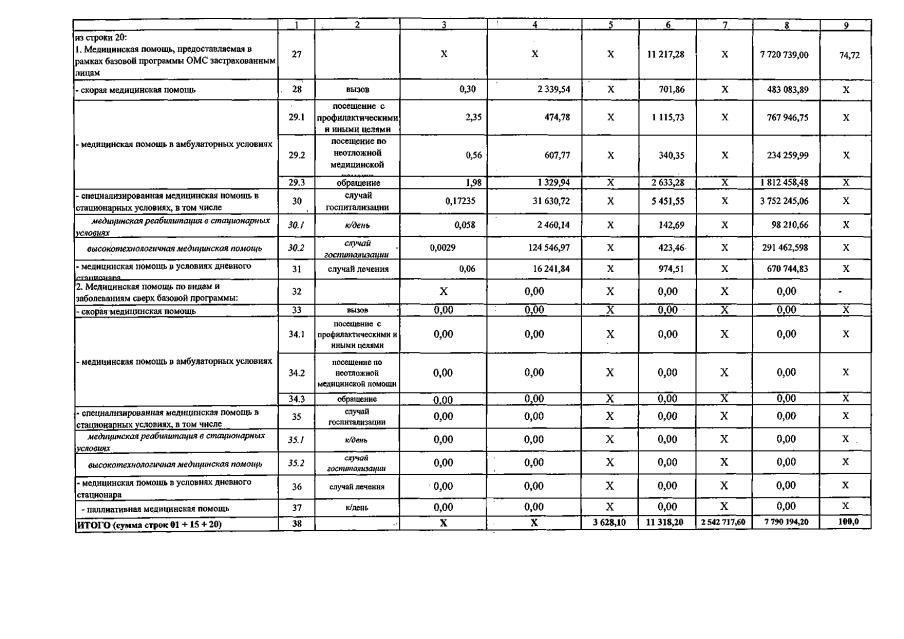
"О внесении изменений в постановление Правительства Республики Северная Осетия-Алания от 19 декабря 2017 года № 471 "О Территориальной программе государственных гарантий бесплатногооказания гражданам медицинской помощи на территории Республики Северная Осетия-Алания на 2018 год и на плановый период 2019 и 2020 годов"
Номер опубликования: 1500201804240004
Дата опубликования: 24.04.2018
Страница №11 из 14:
Увеличить