Официальное опубликование правовых актов
ОФИЦИАЛЬНОЕ ОПУБЛИКОВАНИЕ
Постановление Правительства Республики Северная Осетия - Алания от 20.02.2018 № 50
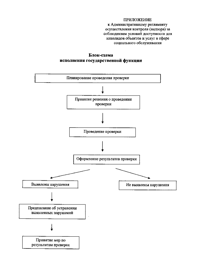
"О внесении изменений в постановление Правительства Республики Северная Осетия-Алания от 22 июня 2012 г. № 202 "Об утверждении административных регламентов исполнения государственных функций и административных регламентов предоставления государственных услуг"
Номер опубликования: 1500201802280012
Дата опубликования: 28.02.2018
Страница №23 из 23:
Увеличить