Официальное опубликование правовых актов
ОФИЦИАЛЬНОЕ ОПУБЛИКОВАНИЕ
Постановление Правительства Республики Северная Осетия - Алания от 06.02.2018 № 35
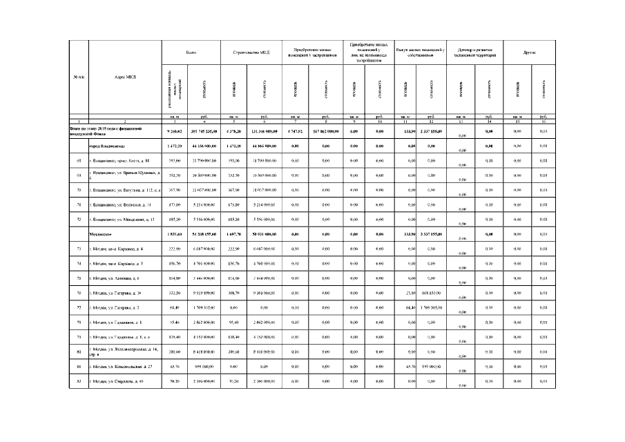
"О внесении изменений в постановление Правительства Республики Северная Осетия-Алания от 31 мая 2013 года № 207 "Об адресной программе Республики Северная Осетия-Алания "Переселение граждан из аварийного жилищного фонда на 2013-2017 годы (в том числе с учётом необходимости развития малоэтажного жилищного строительства)"
Номер опубликования: 1500201802130006
Дата опубликования: 13.02.2018
Страница №21 из 29:
Увеличить