Официальное опубликование правовых актов
ОФИЦИАЛЬНОЕ ОПУБЛИКОВАНИЕ
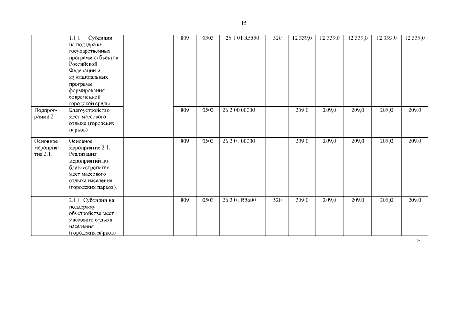
Постановление Правительства Республики Северная Осетия - Алания от 06.02.2018 № 41
"О внесении изменений в постановление Правительства Республики Северная Осетия-Алания от 29 августа 2017 года № 337 "О государственной программе Республики Северная Осетия-Алания "Формирование современной городской среды на 2018-2022 годы"
Номер опубликования: 1500201802130004
Дата опубликования: 13.02.2018
Страница №16 из 21:
Увеличить