Официальное опубликование правовых актов
ОФИЦИАЛЬНОЕ ОПУБЛИКОВАНИЕ
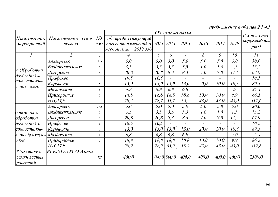
Указ Главы Республики Северная Осетия - Алания от 09.01.2018 № 4
"Об утверждении Лесного плана Республики Северная Осетия-Алания"
Номер опубликования: 1500201801160001
Дата опубликования: 16.01.2018
Страница №203 из 286:
Увеличить