Официальное опубликование правовых актов
ОФИЦИАЛЬНОЕ ОПУБЛИКОВАНИЕ
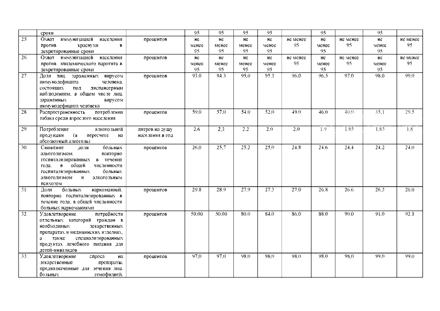
Постановление Правительства Республики Северная Осетия - Алания от 19.12.2017 № 472
"О внесении изменения в постановление Правительства Республики Северная Осетия-Алания от 28 октября 2013 года № 398 "О государственной программе Республики Северная Осетия-Алания "Развитие здравоохранения Республики Северная Осетия-Алания" на 2014-2020 годы"
Номер опубликования: 1500201712280005
Дата опубликования: 28.12.2017
Страница №130 из 247:
Увеличить