Официальное опубликование правовых актов
ОФИЦИАЛЬНОЕ ОПУБЛИКОВАНИЕ
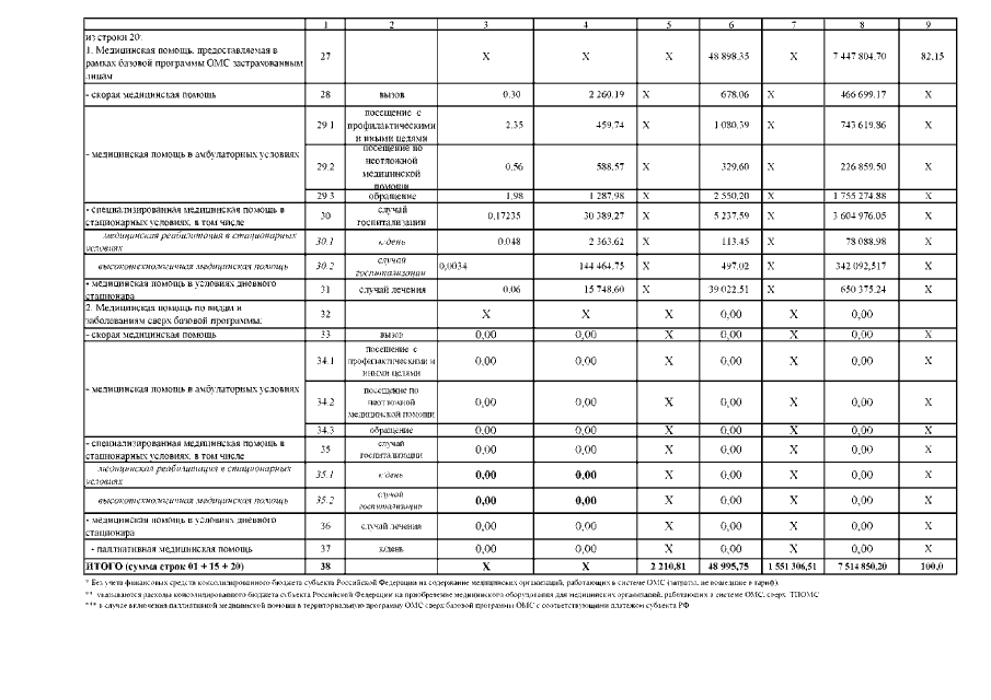
Постановление Правительства Республики Северная Осетия - Алания от 19.12.2017 № 471
"О Территориальной программе государственных гарантий бесплатного оказания гражданам медицинской помощи на территории Республики Северная Осетия-Алания на 2018 год и на плановый период 2019 и 2020 годов"
Номер опубликования: 1500201712280004
Дата опубликования: 28.12.2017
Страница №216 из 223:
Увеличить