Официальное опубликование правовых актов
ОФИЦИАЛЬНОЕ ОПУБЛИКОВАНИЕ
Постановление Правительства Республики Северная Осетия - Алания от 19.12.2017 № 467
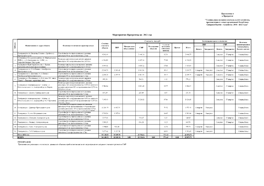
"Об утверждении Программы газификации жилищно-коммунального хозяйства, промышленных и иных организаций Республики Северная Осетия-Алания на 2018-2022 годы"
Номер опубликования: 1500201712220024
Дата опубликования: 22.12.2017
Страница №27 из 28:
Увеличить