Официальное опубликование правовых актов
ОФИЦИАЛЬНОЕ ОПУБЛИКОВАНИЕ
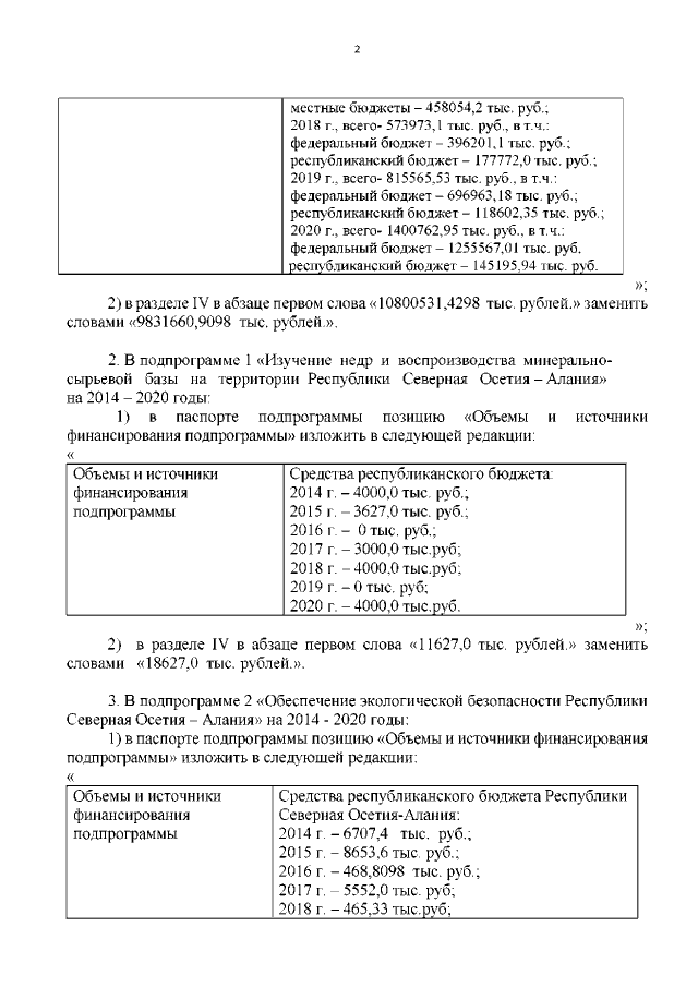
Постановление Правительства Республики Северная Осетия - Алания от 19.12.2017 № 486
"О внесении изменений в постановление Правительства Республики Северная Осетия-Алания от 17 октября 2013 г. № 374 "О государственной программе Республики Северная Осетия-Алания "Охрана окружающей среды, экологическая безопасность и благополучие Республики Северная Осетия-Алания на 2014-2020 годы"
Номер опубликования: 1500201712220022
Дата опубликования: 22.12.2017
Страница №3 из 119:
Увеличить